Home Page of Bo'az Klartag


 
 

חשבון דיפרנציאלי ואינטגרלי 2

סמסטר ב, תשס"ט 2008-2009


מרצה:

בועז קלרטג
שעת קבלה: ימי חמישי, 17-18
חדר 229, בניין שרייבר
טלפון: 03-6406957
דוא"ל:    


מתרגלים:

בועז סלומקה, דן פלורנטין, אסף פרבר, אגור שלוחין.


שיעור:

ימי שני, 8-10, דן דוד 001
ימי חמישי, 10-12, אודיטוריום לב 009


הגשת תרגילים:

חשוב מאוד. אי אפשר ללמוד חדו"א בלי לפתור תרגילים. סביר שחלק מהשאלות במבחן הסופי תהיינה דומות לתרגילים משיעורי הבית. אין חובת הגשה פורמלית, אבל מומלץ לפתור ולהגיש בכל זאת.


מבחן סופי:

מועד א: יום חמישי, 16/7/09, תשע בבוקר.
מועד ב: יום רביעי, 2/9/09, תשע בבוקר.


ספרות מומלצת: יש כמה ספרים טובים בעברית והמון ספרים טובים באנגלית. לדוגמא:

  1. ד. מייזלר, חשבון אינפינטסימלי, הוצאת אקדמון
  2. מ. הוכמן, חשבון אינפינטסימלי, הוצאת אקדמון
  3. חשבון אינפינטסימלי I+II, האוניברסיטה הפתוחה
  4. V.A. Zorich, Mathematical Analysis I+II, Springer (המקור ברוסית)
  5. M. Spivak, Calculus, Publish or Perish
  6. R. Courant & F. John, Introduction to Calculus and Analysis I+II, Springer

סילבוס:

הקורס מחולק, פחות או יותר, לשלושה חלקים: אינטגרלים, סדרות וטורי פונקציות (כולל טורי פורייה), ופונקציות רציפות וגזירות בכמה משתנים (כולל המשפט היסודי של האלגברה). ראו פירוט להלן.

הספר של מייזלר מכיל את רוב החומר (חוץ מטורי פורייה והמשפט היסודי של האלגברה). לא נמשיך מעבר לפרק ל' בספר של מייזלר. אצל הוכמן ואצל ספיבק אין פונקציות במספר משתנים, אבל הם מסבירים בצורה ברורה ומפורטת פונקציות במשתנה אחד. טורי פורייה יש אצל Courant & John (כרך ראשון) ואצל Zorich (כרך שני).


תרגילי בית:

  1. תרגיל 1
  2. תרגיל 2
  3. תרגיל 3
  4. תרגיל 4
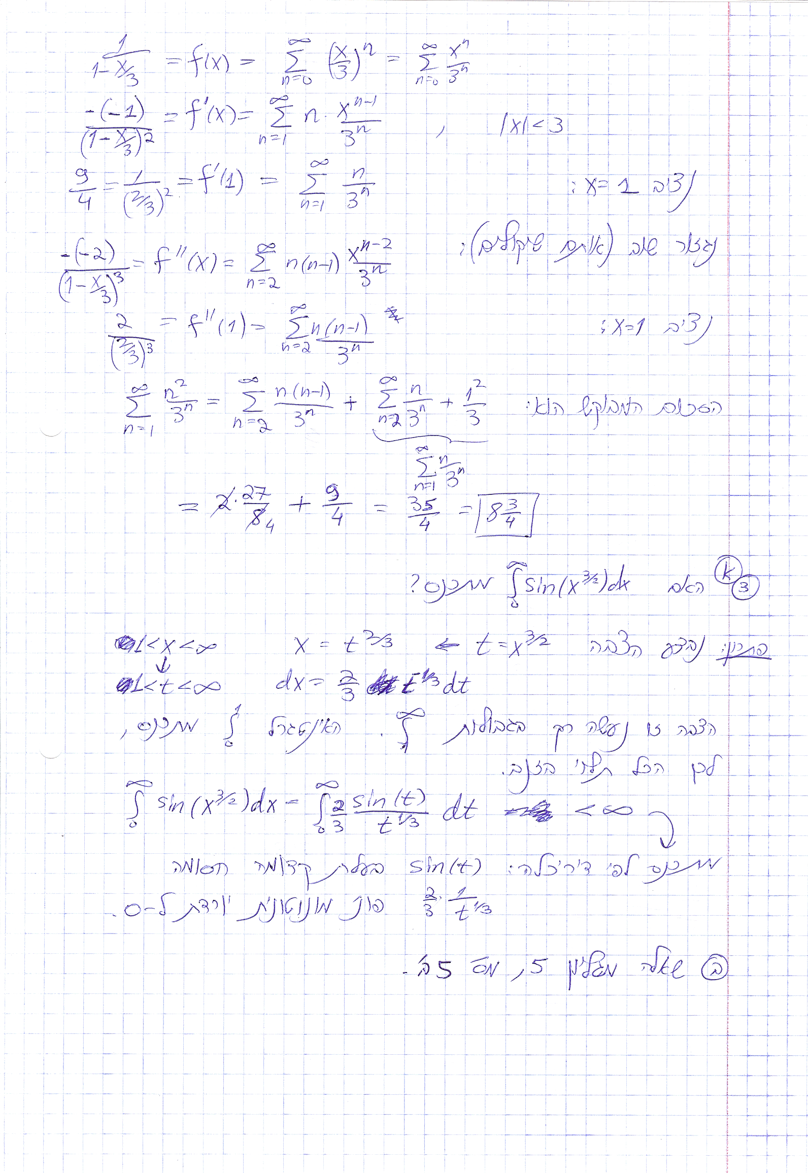
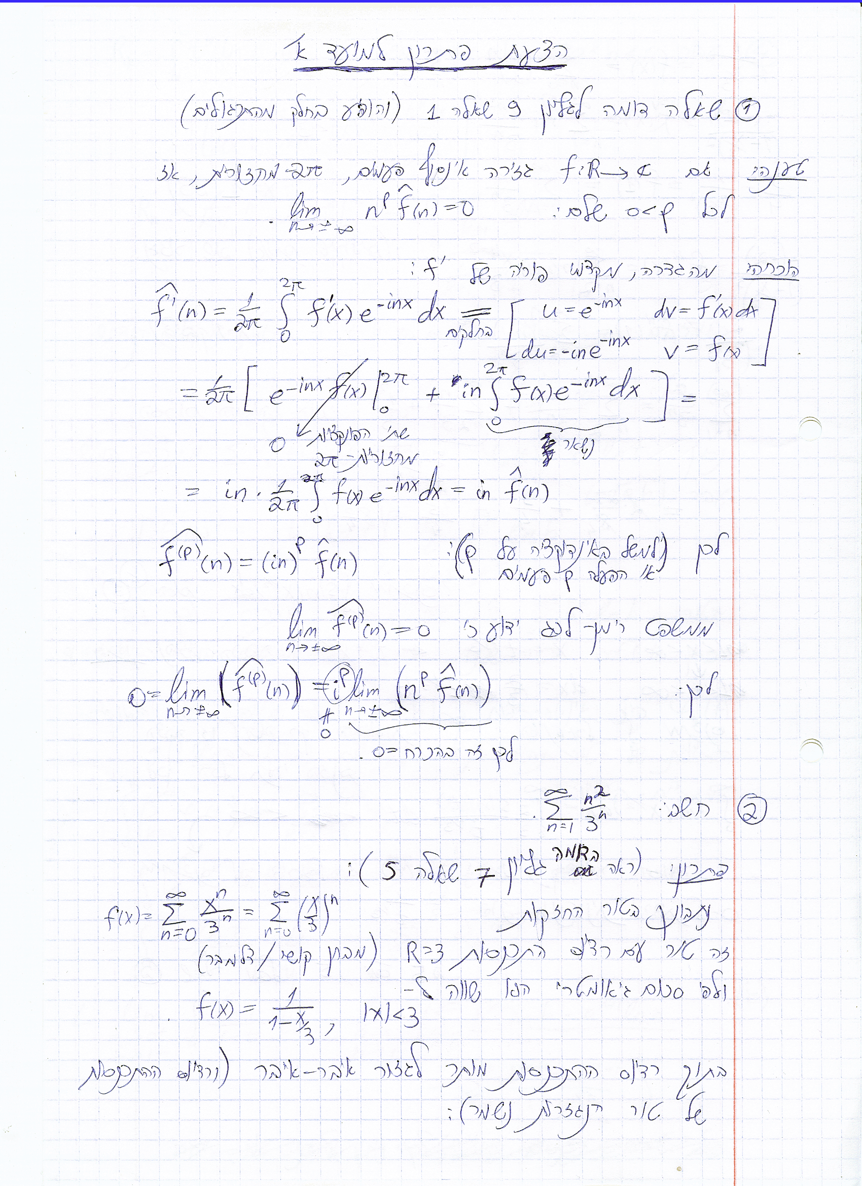
  5. תרגיל 5
  6. תרגיל 6
  7. תרגיל 7
  8. תרגיל 8
  9. תרגיל 9
  10. תרגיל 10
  11. תרגיל 11
  12. תרגיל 12
  13. תרגיל 13

פתרונות לתרגילי הבית:

  1. פתרון תרגיל 1 (נכתב ע"י דן פלורנטין)
  2. פתרון תרגיל 2 (נכתב ע"י אסף פרבר)
  3. פתרון תרגיל 3 (נכתב ע"י בועז סלומקה)
  4. פתרון תרגיל 4 (נכתב ע"י נעמי פלדהיים)
  5. פתרון תרגיל 5 (נכתב ע"י אגור שלוחין)
  6. פתרון תרגיל 6 (נכתב ע"י אסף פרבר)
  7. פתרון תרגיל 7 (נכתב ע"י נעמי פלדהיים ויוחאי ג'רבי)
  8. פתרון תרגיל 8 (נכתב ע"י דן פלורנטין)
  9. פתרון תרגיל 9 (נכתב ע"י אגור שלוחין)
  10. פתרון תרגיל 10 (נכתב ע"י דן פלורנטין)
  11. פתרון תרגיל 11 (נכתב ע"י נעמי פלדהיים ויוחאי ג'רבי)
  12. פתרון תרגיל 12: חלק ראשון (נכתב ע"י יוחאי ג'רבי)
  13. חלק שני (נכתב ע"י נעמי פלדהיים)
  14. פתרון תרגיל 13 (ודן פלורנטין נכתב ע"י אגור שלוחין)

תיקונים לפתרונות התרגילים (נכתב ע"י נעמי פלדהיים)


מבחנים ישנים של פרופ' סודין:

  1. מבחן
  2. מבחן
  3. מבחן
  4. מבחן
המבחן הסופי, מועד א'

הצעה לפתרון הבחינה, נכתבה ע"י נעמי פלדהיים: עמוד 1 עמוד 2 עמוד 3 עמוד 4

המבחן הסופי, מועד ב'



המבחן הסופי, מועד מיוחד



לעמוד הבית